Numerical Checks
for Multiple Choice Questions
The graphing calculator allows for
several methods of checking or comparing multiple choice answers.
Let's look at the checking of algebraic problems using a numerical
format.
Process:
- Choose your "favorite" positive
one-digit (for ease) integer value and store the
value in x
(do not pick 0 or 1).
To store a 7: 7
sto x (the sto command is above the key)
- Hit ENTER.
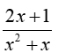
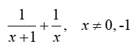
- Enter the algebraic expression
from
the problem on the "calculator" screen using x as your
variable.
- Hit ENTER to get your numerical
value.
- Enter each of the possible
multiple choice answers on the home screen.
- Hit ENTER to get their numerical
values.
- Find the answer that matches the
answer from the problem.
|
|
|